O enunciado abaixo servirá de base para as questões de 4 a 7.
"Furlan prega alta do dólar e irrita Lula e Palocci ."
(O Diário de Santa Catarina p. 13 – 14/01/2005).
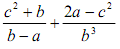
Sabendo que a = 1, b = 1/2 e c = – 2, determine o valor num ![]()
O enunciado abaixo servirá de base para as questões de 4 a 7.
"Furlan prega alta do dólar e irrita Lula e Palocci ."
(O Diário de Santa Catarina p. 13 – 14/01/2005).
Sabendo que a = 1, b = 1/2 e c = – 2, determine o valor num ![]()