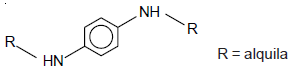
Para diminuir a formação de goma em gasolinas e melhorar suas características de manuseio e armazenamento podem ser utilizados aditivos derivados de diaminas aromáticas, como a representada abaixo.

Esse aditivo atua como um agente:
Provas
Questão presente nas seguintes provas