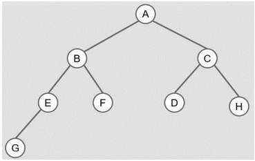
Dada a árvore binária da figura abaixo, assinale a alternativa que possui a sequência de visitas dos vértices que são realizadas pelo algoritmo de percurso Pós-Ordem.

Dada a árvore binária da figura abaixo, assinale a alternativa que possui a sequência de visitas dos vértices que são realizadas pelo algoritmo de percurso Pós-Ordem.
