
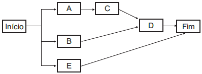
Analisando o diagrama de precedência mostrado na figura acima, constata-se que uma característica das atividades do projeto nele representadas é que
Provas
Questão presente nas seguintes provas
Analista de Sistemas - Engenharia de Software
120 Questões