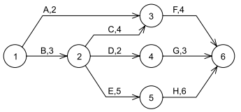
A reforma de um apartamento foi planejada conforme o cronograma PERT-CPM da figura, no qual as atividades são representadas por letras, seguidas de sua duração em semanas.

Para garantir a entrega da obra no tempo planejado, uma das atividades que não pode atrasar é aquela representada pela letra
Provas
Questão presente nas seguintes provas