De acordo com a tabela e o diagrama PERT da figura a seguir, qual alternativa indica o tempo total da obra e o caminho crítico, respectivamente?
| Atividades | Duração em Dias | Atividade Precedente |
| A | 5 | ---- |
| B | 3 | A |
| C | 2 | B |
| D | 3 | B |
| E | 4 | C – D |

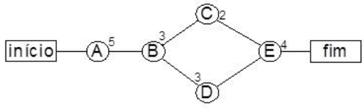
De acordo com a tabela e o diagrama PERT da figura a seguir, qual alternativa indica o tempo total da obra e o caminho crítico, respectivamente?
| Atividades | Duração em Dias | Atividade Precedente |
| A | 5 | ---- |
| B | 3 | A |
| C | 2 | B |
| D | 3 | B |
| E | 4 | C – D |
