1278008
Ano: 2007
Disciplina: Engenharia Eletrônica
Banca: CESPE / CEBRASPE
Orgão: Pref. Rio Branco-AC
Disciplina: Engenharia Eletrônica
Banca: CESPE / CEBRASPE
Orgão: Pref. Rio Branco-AC
Provas:
Em relação a circuitos alimentados com tensão alternada, julgue os itens seguintes.
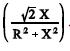
Se a impedância de um circuito for dada por (R+jX) , a condutância será igual
a e a susceptância, igual a
.
Provas
Questão presente nas seguintes provas