Magna Concursos
1834209 Ano: 2013
Disciplina: Engenharia Elétrica
Banca: VUNESP
Orgão: DCTA
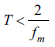
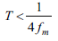
Considere um sinal f (t) limitado em faixa, ou seja, que não tenha nenhuma componente espectral acima de certa frequência finita fm. O intervalo de tempo de amostragem uniforme, T, necessário para recuperar o sinal f (t) univocamente deve satisfazer a condição:
 

Provas

Questão presente nas seguintes provas

Tecnologista Pl - Elétrica/Eletrônica

70 Questões