2789430
Ano: 2023
Disciplina: Engenharia Elétrica
Banca: OBJETIVA
Orgão: Pref. Lavras Sul-RS
Disciplina: Engenharia Elétrica
Banca: OBJETIVA
Orgão: Pref. Lavras Sul-RS
Provas:
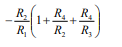
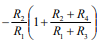
A figura abaixo apresenta um circuito muito utilizado para amplificar sinais de fotodiodos. Uma das principais vantagens é a possibilidade de obtenção de elevados ganhos de tensão com resistores menores se comparados às configurações clássicas inversora e não inversora.

Se os componentes do circuito forem considerados ideais, a expressão que corresponde ao ganho de tensão Vo/Vi é:
Provas
Questão presente nas seguintes provas