Magna Concursos
3493203 Ano: 2016
Disciplina: Geografia
Banca: Marinha
Orgão: Marinha

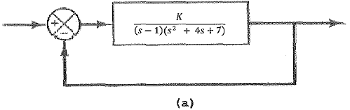
Analise as figuras a seguir.

Enunciado 4141327-1

Enunciado 4141327-2

A figura (b) representa o lugar das raízes do sistema da figura (a). Determine os valores de K para os quais o sistema é estável e assinale a opção correta.

 

Provas

Questão presente nas seguintes provas

Corpo da Armada - Eletrônica

50 Questões