Magna Concursos
3144206 Ano: 2024
Disciplina: Engenharia Civil
Banca: FGV
Orgão: ALEP
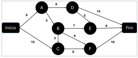
A figura a seguir mostra uma rede PERT para realização de um serviço de engenharia, onde as durações das atividades, indicadas nas setas, estão expressas em dias.


Enunciado 3451375-1


O máximo valor de folga existente dentre todas as atividades, de forma a não comprometer a duração total da obra, vale, em dias,
 

Provas

Questão presente nas seguintes provas

Analista Legislativo - Engenharia

70 Questões