Magna Concursos
3840330 Ano: 2025
Disciplina: Matemática
Banca: Funatec
Orgão: Pref. Jenipapo Vieiras-MA
Provas:

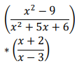
ConsidereEnunciado 4826866-1Simplifique a seguinte expressão:

Enunciado 4826866-2

Ao simplificar a expressão apresentada o seguinte resultado será encontrado:

 

Provas

Questão presente nas seguintes provas

Professor - Matemática

40 Questões