Magna Concursos
217800 Ano: 2017
Disciplina: Matemática
Banca: MS CONCURSOS
Orgão: Pref. Tanguá-RJ
Provas:

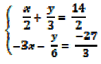
Resolva o seguinte sistema de equações:

enunciado 217800-1

Qual é o valor correto de y?

 

Provas

Questão presente nas seguintes provas

Agente Administrativo

20 Questões