Magna Concursos
846026 Ano: 2019
Disciplina: Matemática
Banca: VUNESP
Orgão: Pref. São José dos Campos-SP
Provas:

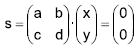
Considere o sistema linear S, representado da seguinte forma matricial:

enunciado 846026-1

O sistema linear S é:
 

Provas

Questão presente nas seguintes provas

Professor - Matemática

50 Questões