Considere o seguinte circuito elétrico:

Fonte: IFSP, 2024
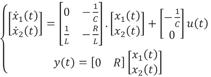
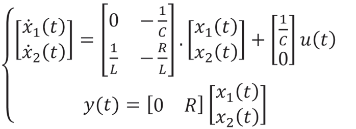
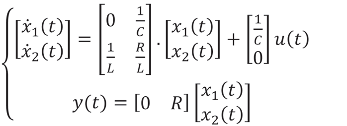
Determine a equação do circuito em Espaço de Estado. Considere a tensão no capacitor e a corrente no indutor como variáveis de estado, a saída do sistema linear é a tensão no resistor R.
Provas
Questão presente nas seguintes provas