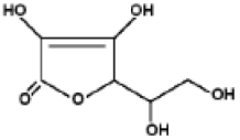
Analise a molécula da vitamina C (ácido L-ascórbico) que tem a fórmula estrutural plana a seguir.

Baseando-se na estrutura plana da vitamina C podemos afirmar corretamente, EXCETO:
Provas
Questão presente nas seguintes provas
Analise a molécula da vitamina C (ácido L-ascórbico) que tem a fórmula estrutural plana a seguir.

Baseando-se na estrutura plana da vitamina C podemos afirmar corretamente, EXCETO: