Observe a figura abaixo que apresenta uma árvore.

Assinale a alternativa que apresenta sequência decorrente do percurso pré-ordem (pre-order) dessa árvore binária.
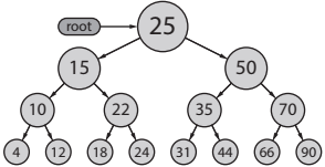
Observe a figura abaixo que apresenta uma árvore.

Assinale a alternativa que apresenta sequência decorrente do percurso pré-ordem (pre-order) dessa árvore binária.