- Química OrgânicaCadeias Carbônicas
- Química OrgânicaFunções Oxigenadas: Cetona, Aldeído, Éter, Éster, Ácido Carboxílico etc.
- Química OrgânicaPropriedades Químicas dos Compostos Orgânicos
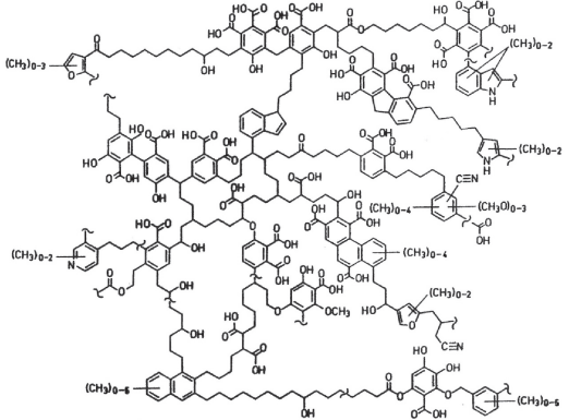
Ácidos húmicos, que junto com os ácidos fúlvicos e a humina, constituem o húmus, são compostos
produzidos pela decomposição da matéria orgânica vegetal, que apresentam estrutura hipotética de
acordo com a apresentada a seguir:
SCHULTEN, H.R. & SCHNITZER, M. Chemical model structures for soil organic matter and soils.SoilSci. 162: 115-130, 1997.
Na estrutura apresentada, é CORRETO afirmar que identificamos
SCHULTEN, H.R. & SCHNITZER, M. Chemical model structures for soil organic matter and soils.SoilSci. 162: 115-130, 1997.Na estrutura apresentada, é CORRETO afirmar que identificamos