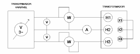
O ensaio demonstrado abaixo é usado para determinar algumas características básicas de um transformador.

Assinale a alternativa que NÃO corresponde às grandezas que podem ser determinadas com este ensaio.
O ensaio demonstrado abaixo é usado para determinar algumas características básicas de um transformador.

Assinale a alternativa que NÃO corresponde às grandezas que podem ser determinadas com este ensaio.