
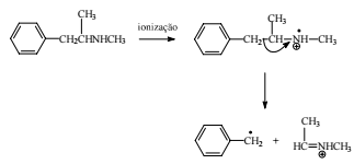
A presença da metanfetamina — uma droga alucinógena ilícita — em fluidos biológicos pode ser determinada por espectrometria de massa. O espectro de massa da metanfetamina apresenta um pico de 58 u bastante característico. A partir da fórmula estrutural da metanfetamina mostrada acima e considerando que M(H) = 1 g/mol, M(C) = 12 g/mol e M(N) = 14 g/mol, julgue o item a seguir.
O pico de 58 u deve-se ao fragmento CH3CH=NH+ CH3, que pode ser formado pelo seguinte mecanismo.
