Um dos isótopos de radônio existentes é integrante da série de
decaimento do U-238. Trata-se de um radionuclídeo que decai por
emissão alfa e possui grande importância radiobiológica, pois pode
ser incorporado pelo organismo por inalação, depositando dose
diretamente nos pulmões.
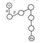
Na série em que esse radônio se encontra, o pai da série é o U-238, que também decai por alfa, transmutando-se sucessivamente até a formação do radônio (vide figura).
Considerando que a linha vertical representa uma transmutação alfa e a linha diagonal uma transmutação beta menos (β- ), assinale a opção que apresenta a melhor representação para o radônio pertencente à série do U-238.
Na série em que esse radônio se encontra, o pai da série é o U-238, que também decai por alfa, transmutando-se sucessivamente até a formação do radônio (vide figura).
Considerando que a linha vertical representa uma transmutação alfa e a linha diagonal uma transmutação beta menos (β- ), assinale a opção que apresenta a melhor representação para o radônio pertencente à série do U-238.