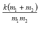
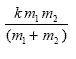
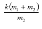
Considere um sistema mecânico simples onde duas massas m1 e m2 estão ligadas por uma mola de constante k, como mostra a figura abaixo:

Considere um sistema mecânico simples onde duas massas m1 e m2 estão ligadas por uma mola de constante k, como mostra a figura abaixo:
