Devido ao recorte dos conteúdos escolares é comum que os experimentos didáticos de lançamento sejam realizados com esferas deslocando-se em calhas considerando apenas o movimento translacional, como se realizassem um deslizamento puro. Entretanto, em decorrência dos efeitos do atrito entre a esfera e a calha, o movimento rotacional não pode ser desprezado. Consideremos o caso de uma calha ajustada para a realização de um lançamento horizontal, ou seja, permite que a esfera seja abandonada de determinada altura e ao final a esfera é lançada horizontalmente após um trecho horizontal de calha. Se o movimento neste caso fosse um deslizamento puro a velocidade do centro de massa (VCM) no momento do lançamento seria dado pela relação:
\(V_{CM} = \sqrt{2gh}\)
sendo h o deslocamento vertical do centro de massa (CM) da esfera durante o movimento na rampa.
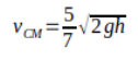
Por outro lado, se o movimento fosse de rolamento puro nas bordas da calha a velocidade do centro de massa no lançamento pode ser modelado pela seguinte relação:
\( v_{CM} = \sqrt{2gh}\sqrt{1 - \dfrac{2}{7 - 5\left(L/D\right)^2}} \)
sendo D o diâmetro da esfera e L a largura da calha, como representado na figura 1:

Figura 1.Representação da esfera em contato com a calha
Neste modelo, a resistência do ar está sendo desprezada.
Assinale a alternativa que representa a aproximação para a velocidade do centro de massa no lançamento para o caso em que a largura da calha é muito menor que o diâmetro da esfera (L << D).