Magna Concursos
405266 Ano: 2017
Disciplina: Matemática
Banca: IFB
Orgão: IFB

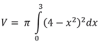
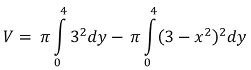
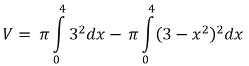
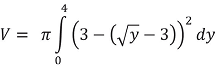
A ideia da produção de peças utilizando tornos, matematicamente consiste em utilizar sólidos de revolução a partir de uma região R em um plano em torno de um eixo. Para projetar a produção de uma peça é necessário o cálculo do volume do sólido de revolução. Então, se R é uma região do plano delimitado pelas equações:

y = x2 , y = 4 e x = 0

ao rotacionar R em torno do eixo x = 3 é obtido um sólido de revolução.

É CORRETO afirmar que o volume é dado por

(dica: um estratégia útil é o método dos “arruelas”):

 

Provas

Questão presente nas seguintes provas

Professor PEBTT - Matemática

50 Questões