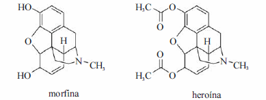
Os opioides são substâncias químicas psicoativas que atuam em receptores de opioides do sistema nervoso central e periférico e do trato gastrointestinal. Os opioides têm sido muito utilizados no tratamento paliativo de dores crônicas e intensas de pacientes terminais de câncer e doenças degenerativas, tais como a artrite reumatoide. Os alcaloides morfanos, classe química a que pertence a morfina e seu derivado sintético (heroína), são representantes conhecidos dos opioides que, além de serem usados no âmbito médico, têm sido utilizados como drogas ilícitas.

A partir das informações contidas na figura e no texto acima, julgue os itens subsecutivos.
Uma mistura de heroína e morfina pode ser separada por meio da dissolução dessa mistura em um solvente orgânico imiscível em água e de sucessivas extrações com solução aquosa de hidróxido de sódio.