Magna Concursos
334268 Ano: 2006
Disciplina: Meteorologia
Banca: CETRO
Orgão: INMET
Provas:
enunciado 334268-1
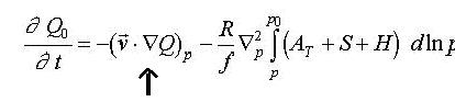
O desenvolvimento de sistemas meteorológicos está intimamente relacionado com a taxa de variação de pressão na superfície que, quando positiva, significa formação ou intensificação de um anticiclone, e quando negativa implica na formação ou aprofundamento de um ciclone. A teoria desenvolvida por Sutcliffe permitiu associar esta taxa de variação da pressão na superfície com grandezas deriváveis. Considerando a equação de Sutcliffe descrita acima, fisicamente pode-se afirmar que o termo sinalizado significa:
 

Provas

Questão presente nas seguintes provas

Meteorologista

50 Questões