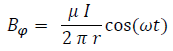
Considere o campo magnético \( B \)=(\( 0 \),\( B \)\( \varphi \),\( 0 \)) gerado por um fio condutor longo (de diâmetro desprezível em relação ao seu comprimento), estendido sobre o eixo \( z \), transportando uma corrente de amplitude \( I \) (ampères) e frequência \( \omega \) (rad/s), no regime quase-estático:


em que \( B \)\( \varphi \) é medido em teslas, μ é a permeabilidade magnética do meio em torno do fio condutor medida em H/m, r é a distância radial a partir do fio em metros e t é o tempo medido em segundos.
Uma espira condutora quadrada de lado a é colocada nas imediações do fio, a uma distância d entre o centro geométrico da espira e um ponto no fio, conforme ilustra a figura acima. Suponha que a espira seja pequena, tal que \( a \)<<\( d \), e que esteja adequadamente orientada para produzir a indução de tensão em seu circuito.
Isso posto, assinale a alternativa cuja expressão representa o valor de pico da tensão induzida Vi nos terminais da espira, em volts.