
A 3
B 4
C 2
D 6
E 2
F 3
G 3
H 4
I 5
J 3
K 4
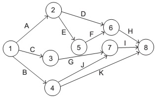
A Figura acima apresenta o diagrama de redes PERT-CPM e seu Quadro com os tempos das atividades em unidades de tempo (ut) de um projeto.
As atividades que compõem o caminho crítico desse projeto são:

A 3
B 4
C 2
D 6
E 2
F 3
G 3
H 4
I 5
J 3
K 4
A Figura acima apresenta o diagrama de redes PERT-CPM e seu Quadro com os tempos das atividades em unidades de tempo (ut) de um projeto.
As atividades que compõem o caminho crítico desse projeto são: