
A figura acima representa dois blocos, 1 e 2, com massas m e 2 m, respectivamente, que começaram a se movimentar, de uma mesma altura h, a partir do repouso, em planos inclinados. Os coeficientes de atrito dinâmico dos blocos 1 e 2, com relação às superfícies dos planos inclinados, são, respectivamente, iguais a µ1 e µ2 .
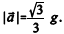
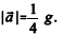
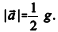
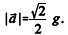
Se μ1 = 1/4, o módulo da aceleração resultante
do bloco 2, em
função da aceleração da gravidade local g, é igual a