No que diz respeito às estruturas de informação, julgue o item subsecutivo.
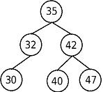
A inserção dos elementos 47, 35, 40, 32, 42 e 30, nessa ordem, em uma árvore binária balanceada inicialmente vazia apresenta o resultado mostrado na figura abaixo, após a realização de todas as operações necessárias.

A inserção dos elementos 47, 35, 40, 32, 42 e 30, nessa ordem, em uma árvore binária balanceada inicialmente vazia apresenta o resultado mostrado na figura abaixo, após a realização de todas as operações necessárias.
