Com relação a combinatória, cada um dos itens
subseqüentes apresenta uma situação hipotética,
seguida de uma assertiva a ser julgada.
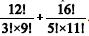
Em um tribunal, deve ser formada uma comissão de 8 pessoas, que serão escolhidas entre 12 técnicos de informática e 16 técnicos administrativos. A comissão deve ser composta por 3 técnicos de informática e 5 técnicos administrativos. Nessa situação, a quantidade de maneiras distintas de se formar a comissão pode ser corretamente representada porsubseqüentes apresenta uma situação hipotética,
seguida de uma assertiva a ser julgada.
