A D(+)-glicose é representada pela estrutura espacial a seguir:

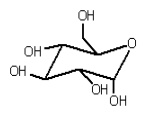
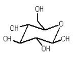
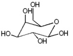
Estudos das estruturas das formas cíclicas (hemiacetal) da D(+)-glicose utilizando análise de raio-X demonstram que as conformações reais dos anéis são as formas em cadeira. Considerando que a forma em cadeira pode ser apresentada como α ou β, é correto afirmar que a estrutura conformacional correspondente à β-D(+)-glicopiranose é:

Estudos das estruturas das formas cíclicas (hemiacetal) da D(+)-glicose utilizando análise de raio-X demonstram que as conformações reais dos anéis são as formas em cadeira. Considerando que a forma em cadeira pode ser apresentada como α ou β, é correto afirmar que a estrutura conformacional correspondente à β-D(+)-glicopiranose é:
Provas
Questão presente nas seguintes provas