O modelo Yt = α + ßt + et , t = 1, 2, 3, ..., foi considerado para prever o lucro de uma companhia no ano (2007 + t).
Sabe-se que:
. Yt representa o lucro, em milhões de reais no ano t;
. α e ß são parâmetros desconhecidos;
. et é o correspondente erro aleatório, com as respectivas hipóteses da regressão linear;
. as estimativas de α e ß foram obtidas pelo método de mínimos quadrados, considerando-se as observações Yt no período de 6 anos (2008 a 2013).
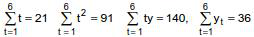
Os dados relativos às observações são:

Nessas condições, a previsão de mínimos quadrados para o lucro da companhia, em milhões de reais, no ano de 2014, é igual a
Sabe-se que:
. Yt representa o lucro, em milhões de reais no ano t;
. α e ß são parâmetros desconhecidos;
. et é o correspondente erro aleatório, com as respectivas hipóteses da regressão linear;
. as estimativas de α e ß foram obtidas pelo método de mínimos quadrados, considerando-se as observações Yt no período de 6 anos (2008 a 2013).
Os dados relativos às observações são:

Nessas condições, a previsão de mínimos quadrados para o lucro da companhia, em milhões de reais, no ano de 2014, é igual a
Provas
Questão presente nas seguintes provas