Magna Concursos
Questões
Planos
Entrar
Entrar
Criar Conta
Respondida
556781
Ano:
2015
Disciplina:
Engenharia Eletrônica
Banca:
CESPE / CEBRASPE
Orgão:
FUB
Provas:
Técnico em Telecomunicações
Provas
×
Álgebra Booleana e Circuitos Lógicos
Eletrônica Digital na Engenharia Eletrônica
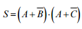
A tabela verdade apresentada acima representa o comportamento de um circuito combinacional com entradas A, B e C e saída S.Com relação a essa tabela, julgue o próximo item.
A expressão booliana mínima para S na forma produto de somas é dada por
.
C
Certo
E
Errado
Resolver
Comentários
0
×
Cadernos
×
Flashcards
×
Estatísticas
×
Reportar um erro
×
Provas
Questão presente nas seguintes provas
Técnico em Telecomunicações
120 Questões
Resolver Prova
Publicar
Responder
Qual o problema da questão?
Selecione uma opção
Questão Desatualizada
Questão Repetida
Gabarito Errado
Outros Motivos
Mensagem
Enviar
Acessar
Criar Conta
Acesse sua Conta
Google
Facebook
Esqueci minha senha
Acessar
Ainda não tem conta?
Crie uma
!
Crie uma Conta
Criar Conta
Olá, para continuar, precisamos criar uma conta!
É
rápido
e
grátis
.
Google
Facebook
Concordo com os
Termos de Uso
Criar
Já tem uma conta?
Acesse aqui