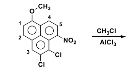
Os compostos aromáticos podem ser alquilados através da reação de alquilação de Friedel-Crafts, que pode ser classificada como uma reação de substituição eletrofílica. A posição preferencial da alquilação depende dos grupos substituintes presentes no composto aromático. Considere o esquema reacional abaixo:

Na alquilação proposta acima, o grupo metil entrará preferencialmente na posição assinalada com: