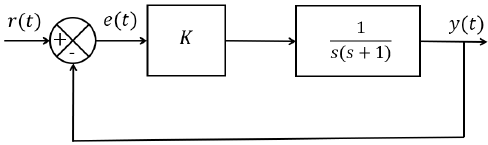
Considere um sistema realimentado com um controlador tipo proporcional apresentado no diagrama de blocos na figura abaixo. Ao se aplicar um sinal !$ r(t) !$ do tipo degrau com amplitude finita, é esperado que o valor do sinal de erro !$ e(t) !$, em regime permanente, convirja para:

Ao se aplicar um sinal !$ r(t) !$ do tipo degrau com amplitude finita, é esperado que o valor do sinal de erro !$ e(t) !$, em regime permanente, convirja para: