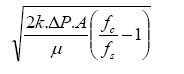
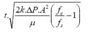
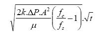
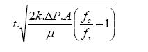
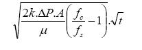
Considere a filtração em filtro prensa de uma suspensão cuja fração volumétrica de sólidos é "fs". Se "k" é a permeabilidade da torta formada,
é a queda de pressão no equipamento (mantida constante), "fc" é a fração volumétrica de sólidos na torta,
é a viscosidade do fluido e "A" é a área da seção reta do filtro. Assinale a alternativa que contém a expressão correta para o volume de filtrado em função do tempo "t".
é a queda de pressão no equipamento (mantida constante), "fc" é a fração volumétrica de sólidos na torta,
é a viscosidade do fluido e "A" é a área da seção reta do filtro. Assinale a alternativa que contém a expressão correta para o volume de filtrado em função do tempo "t".