4029545
Ano: 2026
Disciplina: Engenharia Civil
Banca: VUNESP
Orgão: Pref. São José Rio Preto-SP
Disciplina: Engenharia Civil
Banca: VUNESP
Orgão: Pref. São José Rio Preto-SP
Provas:
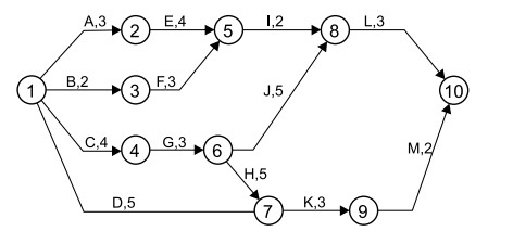
Para o planejamento da construção de um galpão comercial, foi elaborado o cronograma Pert-CPM a seguir, composto por 13 atividades indicadas por letras, seguidas de
suas durações, em semanas.
(Arquivo pessoal; imagem usada com autorização)
Conforme o cronograma, o prazo para a conclusão da reforma é
(Arquivo pessoal; imagem usada com autorização)
Conforme o cronograma, o prazo para a conclusão da reforma é