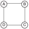
Para estimular o raciocínio de sua filha, um pai fez o seguinte desenho e o entregou à criança juntamente com três lápis de cores diferentes. Ele deseja que a menina pinte somente os círculos, de modo que aqueles que estejam ligados por um segmento tenham cores diferentes.

De quantas maneiras diferentes a criança pode fazer o que o pai pediu?
Provas
Questão presente nas seguintes provas