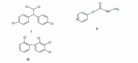
Diversos compostos orgânicos sintéticos vêm causando grandes impactos ambientais e na saúde humana. Dadas as estruturas químicas abaixo, assinale a alternativa que identifica corretamente a que classe de poluentes os compostos representados pertencem, respectivamente.
