Magna Concursos
Questões
Planos
Entrar
Entrar
Criar Conta
Respondida
312096
Ano:
2010
Disciplina:
Engenharia de Produção
Banca:
UFPel
Orgão:
UFPel
Provas:
Engenheiro de Produção
Provas
×
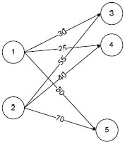
No problema de transportes a seguir, as variáveis
xij
representam as quantidades que devem ser transportadas da origem “i” ao destino “j”, de acordo aos custos unitários apresentados na figura.
A função objetivo deste problema é representada por:
A
Min Z = (30+25 + 80) (x13 + x14 + x15) + (55 +40 +70) (x23 + x24 + x25)
B
Min Z = 30 x13 + 25 x14 +80 x15 +55 x23 +40 x24 +70 x25
C
Min Z = (x13 + x14 + x15 + x23 + x24 + x25 ) / (30 + 25+ 80 + 55 + 40 + 70)
D
Min Z = 55 x13 + 105 x14 +80 x15 + 95 x23 +110 x24 +70 x25
E
Min Z = (x13 + x14 + x15 + x23 + x24 + x25)/(30+25+80+55+40+70)
Resolver
Comentários
0
×
Cadernos
×
Flashcards
×
Estatísticas
×
Reportar um erro
×
Provas
Questão presente nas seguintes provas
Engenheiro de Produção
40 Questões
Resolver Prova
Publicar
Responder
Qual o problema da questão?
Selecione uma opção
Questão Desatualizada
Questão Repetida
Gabarito Errado
Outros Motivos
Mensagem
Enviar
Acessar
Criar Conta
Acesse sua Conta
Google
Facebook
Esqueci minha senha
Acessar
Ainda não tem conta?
Crie uma
!
Crie uma Conta
Criar Conta
Olá, para continuar, precisamos criar uma conta!
É
rápido
e
grátis
.
Google
Facebook
Concordo com os
Termos de Uso
Criar
Já tem uma conta?
Acesse aqui