Magna Concursos
3453144 Ano: 2024
Disciplina: Matemática
Banca: DECEx
Orgão: EsPCEx
Provas:

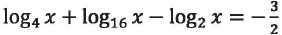
Sendo x a solução da equação Enunciado 3993596-1 o valor de \( \sqrt[3]{x} \) é:

 

Provas

Questão presente nas seguintes provas

Aluno

100 Questões