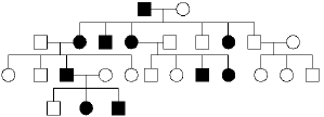
A doença de Huntington é uma enfermidade hereditária rara, que afeta o sistema nervoso central, causando alterações dos movimentos, do comportamento e da capacidade cognitiva. O heredograma abaixo é de uma família com casos desta doença, nos quais os homens e mulheres afetados estão representados, respectivamente, pelos quadrados e círculos pretos.

Analisando as informações acima, pode-se afirmar que: