Magna Concursos

Considere que a produção de óleo cru, em milhares de barris por dia, de uma bacia petrolífera possa ser descrita por uma função da forma Q(t) = Ae-kt , em que A e k são constantes positivas, t é o tempo, em anos, a partir do ano t = 0, que corresponde ao ano de maior produtividade da bacia. Com base nessas informações, julgue os itens a seguir.

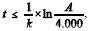
Considere que cada barril de óleo cru produzido nessa bacia possa ser vendido por 50 dólares e que as despesas diárias da companhia produtora nessa bacia petrolífera sejam de 200 mil dólares. Com o decréscimo anual de produção, sem que haja decréscimo nas despesas, a partir de determinado ano será inviável continuar a explorar essa bacia. Nessa situação, em todo ano t, tal que Enunciado 2996106-1 , a companhia produtora terá algum lucro nessa bacia.

Questão Anulada

Provas

Questão presente nas seguintes provas

Controlador de Movimentação e Transporte

120 Questões

Eletricista

120 Questões

Mecânico

119 Questões

Operador de Movimentação e Transporte

120 Questões

Técnico - Inspetor de Segurança Interna

120 Questões

Técnico - Química do Petróleo

120 Questões

Técnico - Segurança

120 Questões

Técnico - Telecomunicações

120 Questões

Técnico de Contabilidade

120 Questões

Técnico de Enfermagem do Trabalho

120 Questões

Técnico de Instrumentação

120 Questões

Técnico de Manutenção - Caldeiraria

120 Questões

Técnico de Operação

120 Questões