2446335
Ano: 2012
Disciplina: TI - Desenvolvimento de Sistemas
Banca: COPS-UEL
Orgão: SEFAZ-PR
Disciplina: TI - Desenvolvimento de Sistemas
Banca: COPS-UEL
Orgão: SEFAZ-PR
Provas:
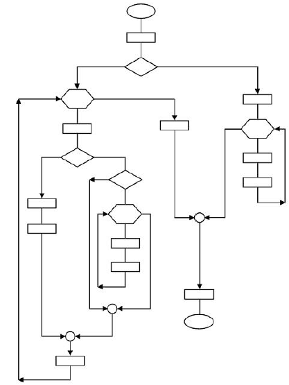
Um fluxograma pode ser entendido como um diagrama que ilustra de forma gráfica ou esquemática a sequência de passos para a realização de uma determinada tarefa ou processo, de maneira simples. Também são utilizados para ilustrar o fluxo de execução de algoritmos. Considere o fluxograma a seguir.

Assinale a alternativa que apresenta, corretamente, o pseudocódigo cujo fluxo de execução esteja representado por esse fluxograma.