Magna Concursos
1294744 Ano: 2010
Disciplina: Engenharia Eletrônica
Banca: CESPE / CEBRASPE
Orgão: ABIN

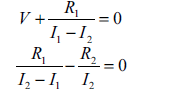
Enunciado 1294744-1

As figuras de I a III acima mostram circuitos elétricos, com a indicação de fontes de alimentação, de resistores e das correntes de malha. No que diz respeito a esses circuitos, julgue os itens seguintes.

As equações a seguir descrevem corretamente as duas equações de malha para o circuito elétrico mostrado na figura I.

Enunciado 1294744-2

 

Provas

Questão presente nas seguintes provas

Agente Técnico de Inteligência - Eletrônica

150 Questões