Magna Concursos
1443652 Ano: 2022
Disciplina: Química
Banca: VUNESP
Orgão: FICSAE
Provas:

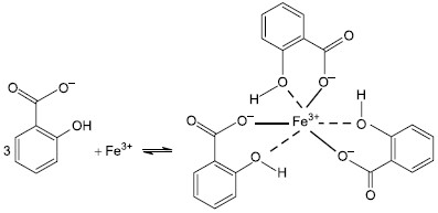
A detecção de ácido acetilsalicílico (AAS) em fármacos é realizada a partir da reação de Trinder, em que íons Fe3+ formam um complexo violeta em presença de íons salicilato, derivados do AAS. A fórmula do AAS e a reação de formação do complexo salicilato-Fe(III) estão mostradas a seguir.

Enunciado 3000346-1

ácido acetilsalicílico (AAS)

Formação do complexo salicilato-Fe(III) de cor violeta

Enunciado 3000346-2

(qnesc.sbq.org.br)

Em uma determinação de AAS presente em um fármaco, verificou-se que 50 mL de uma solução de íons salicilato consumiram 5,6 mg de íons Fe3+. O nome da reação química responsável pela formação do íon salicilato a partir do AAS e a concentração de íons salicilato, em mol/L, na solução analisada são

 

Provas

Questão presente nas seguintes provas

Vestibular

50 Questões