
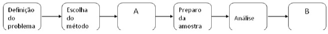
As etapas A e B do processo analítico descrito podem ser identificadas, respectivamente, como Amostragem e Eliminação de interferentes.

As etapas A e B do processo analítico descrito podem ser identificadas, respectivamente, como Amostragem e Eliminação de interferentes.