Magna Concursos
517701 Ano: 2018
Disciplina: Engenharia Eletrônica
Banca: CESPE / CEBRASPE
Orgão: FUB
Provas:

Com relação a sistemas de controle e processamento de sinais, julgue o item seguinte.

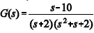
Se a função de transferência em malha fechada de um sistema é enunciado 517701-1 , esse sistema é instável.

 

Provas

Questão presente nas seguintes provas

Engenheiro Eletricista

120 Questões