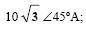
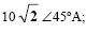
Um circuito trifásico desequilibrado está ligado em triângulo. Se as correntes nas linhas de alimentação "a" e "b" valem, respectivamente, 10∠0º A e 10∠90º A, então a corrente na linha de alimentação "c" vale:
Um circuito trifásico desequilibrado está ligado em triângulo. Se as correntes nas linhas de alimentação "a" e "b" valem, respectivamente, 10∠0º A e 10∠90º A, então a corrente na linha de alimentação "c" vale: